Ook recht is te koop in Nederland

IRM . . Juristen . . EU Grondwet <==> SDN . . Klokkenluider . . Paul Quekel . . Woekerpolissen . . Klacht NMA

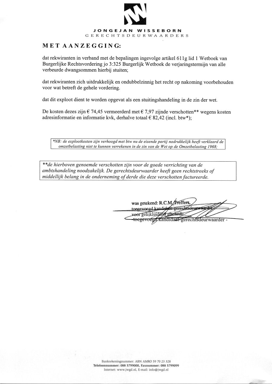
    Hieronder het laatste deurwaardersexploot waarvan de geschorste advocaat die in TROS-Opgelicht werd ontmaskerd als een oplichter met bankrekeningen in de zitting van het Hof in Den Haag op de vraag van de voorzitter: "Hoe zit het met het exploot van vier miljoen? deze antwoordde: "Dat is een fout van de deurwaarder, edelachtbare!". We zijn benieuwd naar de uitspraak van het Hof op 28 februari 2012 om de in beslag genomen 60.000 euro wegens de bovenstaande reden vervallen dwangsommen terug moeten worden gegeven aan de vier gezinnen die daaronder zwaar te lijden hebben gehad. Dit nog los van een schadevergoeding wegens het misbruik van het procesrecht en het toebrengen van laster en leed aan die bestuursleden van de kleine stichting Sociale Databank Nederland.

Een mogelijke verklaring voor de aanvallen op de SDN kan hieronder misschien gevonden worden

Volgens het klemmende advies van oud-voorzitter mr. A.H. van Delden moet onder alle omstandigheden voorkomen worden dat de mogelijkheid om te liegen tegen de rechter door een advocaat in de rechtszaal niet meer zou kunnen, omdat jurisprudentie zou ontstaan die advocaten strafbaar verbiedt om te liegen, misleiden, lasteren, vervalsen, enz. Liegen in de rechtszaal is ook een politiek instrument bij uitstek.

In het boek: "Kwade Zaken? De moraal van het juridisch beroep" (Ars Aequi Libri 2006), bespreekt Dr. Hendrik Kaptijn, hoofddocent aan de universiteit van Leiden, de verloedering van de (tucht) rechtspraak.

Videoverslag van de rechtszaak tegen de Sociale Databank Nederland

    Op pag. 179 staat: "Als het uitkomt wordt tuchtrecht met strafrecht gelijk gesteld, maar de wezenlijke openbaarheid van strafrechtspraak geldt weer niet voor het tuchtrecht. Tuchtrechterlijke waarheidsplicht is 'n wassen neus, steeds officiëler gesanctioneerd door 'criminalisering' van tuchtrechtspleging. In de strafvordering gelden de waarheidsplichten immers niet.

    De consequentie is dat de advocaat in de rechtszaal is toegestaan te liegen, beledigen, verdraaien, meineed- en karaktermoord te plegen tegenover de wederpartij. Immers volgens de gedragsregels heeft de advocaat een grote vrijheid in het presenteren van argumenten. Dat argumenten niet hetzelfde zijn als feiten, daaraan wordt gemakshalve voorbijgegaan. Dit in het belang van cliënten. Dat een dergelijke geperverteerde beroepshouding ook in strijd is met de gedragsregels 30 en met art. 21 Rv is voor de advocaat niet van belang. Het gaat om het winnen met alle middelen rechtens en onrechtens."

Het aantal rechtszaken zou daardoor met meer dan de helft kunnen afnemen, waardoor grote negatieve consequenties te verwachten zijn voor de inkomens van advocaten, juristen, rechters, raadsheren en griffiers. Maar ook bij rechters- of raadsheer-plaatsvervangers als notarissen, burgemeesters, professoren en anderen die tot de functie tegen betaling worden toegelaten. Oud-raadsheer dr. W. Wedzinga heeft er wat onthullingen over gedaan waarvoor hij stevig heeft moeten boeten. De omerta prevaleert bij de ivoren toren.

Alle Tweede Kamerleden zijn op 4 september 2010 persoonlijk geïnformeerd over de onwettige en schadelijke praktijken in het rechtsbedrijf met het onderstaande bericht:

Mailbericht aan alle zittende Tweede Kamerleden der Staten Generaal

Job Cohen, vergezeld door Ronald Plasterk, deed op uitnodiging van de Partij van de Arbeid in Bussum met lijsttrekker Gerard Boekhoff een opbeurend appèl aan de kiezers om het sociale in de politiek te laten herontdekken met een oproep om op de PvdA een stem uit te brengen bij de komende gemeenteraadsverkiezingen.

L.s.,
Vandaag ontving ik de ontvangstbevestiging voor de onderstaande mail van de griffie met kenmerk: 2010Z12266/2010D33165 van 4 september 2010.

Een miljard aan bezuiniging voor het oprapen

From:SDN
Sent: Saturday, September 04, 2010 6:13 AM

Met aanpassing van de Advocatenwet wordt de begroting voor Justitie jaarlijks minimaal een miljard euro lager dan die van vandaag, een bijna gratis bezuiniging....!

 

Ik kan u de informatie over armoede niet onthouden!
    Voorstel voor 'n Kamermotie voor wetswijziging m.b.t. invordering van schulden
    Armoede in België. Circa 1.500.000 Belgen leven op/onder de armoedegrens
    Armoede in Nederland. Circa 2.475.600 Nederlanders leven op de armoedegrens
    Aantal gezinnen verviervoudigd dat afhankelijk is van gratis voedselpakketten
    Voedselbank Limburg-Zuid trapt op de rem: ruim 400 gezinnen op de wachtlijst
    Stichting Vangnet om dalende huizenprijzen op te vangen
    Ton Nuiten schetst een somber beeld m.b.t. de politiek en de media
    Robert Brockhus: De oorlog tegen de armen is nu echt begonnen
    De oplossing voor het woningtekort en armoede is een stilstandsbelasting
    De media komen nu pas over de brug met informatie over proces van verpaupering
    Actualiteitenprogramma van Netwerk geef aandacht aan armoede in Rotterdam
    Armoede van miljoenen Nederlanders eindelijk op tv
    De misvatting in de discussie bij NOVA over noodzaak van bezuinigen
    Zoeken bij de Woonbond geeft: Helaas niets gevonden voor "huurverlaging"
    Martin Dessing pakt de staat aan wegens onderwaardering van de gulden
    Minister de Geus zegt: "Hervorming van de sociale zekerheid biedt perspectief"
    Commentaar op de presentatie van Kamerlid Blok (VVD) en de flat-tax
    Consument houdt hand stevig op de knip en de burgers zijn blutgegraaid
    Commentaar op de presentatie van Tweede Kamerlid Blok (VVD) van de flat-tax
    Herstructurering Sociale Zekerheid met de wet Algemene Wet Inkomensvoorziening
    Sociale prestatie van Nederland inclusief de AOW
    Probeer de onderstaande quiz van de Raad van Kerken eens goed in te vullen
    Geen kind is thuis zonder problemen
    Grote groep ouderen in de schulden, incassobureau ziet veel stille armoede
    Grondvest, Henry George en "Progress and Poverty"
    Armoedecongres in Zwolle toont sociaal failliet van pers en politiek
    Het harde sanctiebeleid dat sociale diensten krachtens de Wet Boeten
    Gemeente Bergh redt minima uit isolement
    Brood stelen uit noodzaak allang in de wet geregeld
    Gemeente Bergh hoopt op navolging armoedebeleid
    Het Armoededebat, wat is armoede? De omschrijving van het begrip armoede
    Armoede in Nederland, veel gezinnen in de bijstand zitten in diepe armoede
    CBS: Koopkracht van minima in 20 jaar 23 procent gedaald
    Gemeente Leeuwarden: 'Werken levert vaak minder op dan uitkering'
    Ongelijkheid in armoedebestrijding
    Mars in Amerika voor economische mensenrechten, werkloosheid en sociale uitsluiting
    Koopkracht, de fistel in het polder-koldermodel
    Ministerie van Sociale Zaken speelt stommetje over koopkrachterosie minima
    Vragen rond verarming en verrijking
    Waarom stemden de saneringswijken massaal op Pim Fortuyn; dus rechts ??
    Het cadeau van de minima voor de aflossing van de staatsschuld
    Overdenkingen over de Amerikaanse maatschappijstructuur in het Engels
    Wanneer vermelden de media de vindplaatsen van particuliere informatie?
    SDN-rubrieken
    Terug naar het begin