Dit overzicht is een verzameling van documenten die aantonen dat men als loopjongen van de zware witteboordcriminelen succes heeft geboekt.
Daarbij heeft hij in opdracht en met zwendelpraktijken sociaal en maatschappelijk grote schade aangericht. Hij heeft fiscaal en financieel rendement behaald voor de grote financiers op de achtergrond. De grote geldmachine ondersteund door een leger van advocaten en notarissen (binnen de organisaten) hebben met het als maar rond en doorverkopen van de projecten de fiscale belasting die iedereen moet betalen weten te ontwijken. Rijk worden doe je door de maatschappij (fiscus) en onwetende mensen met chicanes grootselijk te bestelen. Voorbeelden daarvan zijn er in overvloed. De juristerij van grof betaalde advocaten beschadigde en beschadigt nog steeds tienduizenden mensen die dachten op een recreatiepark te kunnen genieten van hun rust met een aangekochte caravan of chalet met hun zuurverdiende centjes.
Ruud Rietveld reageert op 'DE ETHIEK VAN DE RABOBANK'
Open brief aan rechter Croes met felle kritiek op zijn rechtspraak
Faxbericht aan mr. Maes van Kees Griesdoorn over schijneisers
Open brief aan rechter Croes met felle kritiek op zijn rechtspraak
Verklaring van mevr. A. Mesman-tulp over haar bestuursfunctie
Advocaat van de vereniging grootste obstakel om executie te voorkomen
Open brief aan de gemeente Elburg en de pers over Bospark Dennenrhode
Briefwisseling van advocatenkantoor Dommerholt & van Dijk en st. SDN
Accountantsverklaring HZW over effectieve winst per caravan of chalet
Document met procedure tegen mr. Maes van Dommerholt & van Dijk in Zwolle
Rijke fantasie van Maes zonder tussenkomst van de rechter
Convenant tussen Zitter, Vos en ver. Verontruste recreanten (Giesdoorn)
Krantenartikel en een open brief aan rechter L.A. Croes over nalatigheid
Brief aan SDN met de sommatie om de website van Rietveld te verwijderen
Overzicht van door Maes aangevoerde eisers waarvan de meeste vals bleken
Interconnex komt op voor de belangen van gedupeerde Rabobank cliënten.
Mailbericht over De Week Willibrord Frequin m.b.t. uitzending van 11 november
Erkenning van Dommerholt & van Dijk Advocaten over onrechtmatigheid van beslag
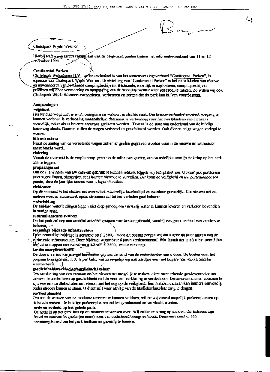
Historie en relaties van de Camping-boerderij 'Welgelegen' te Voorthuizen
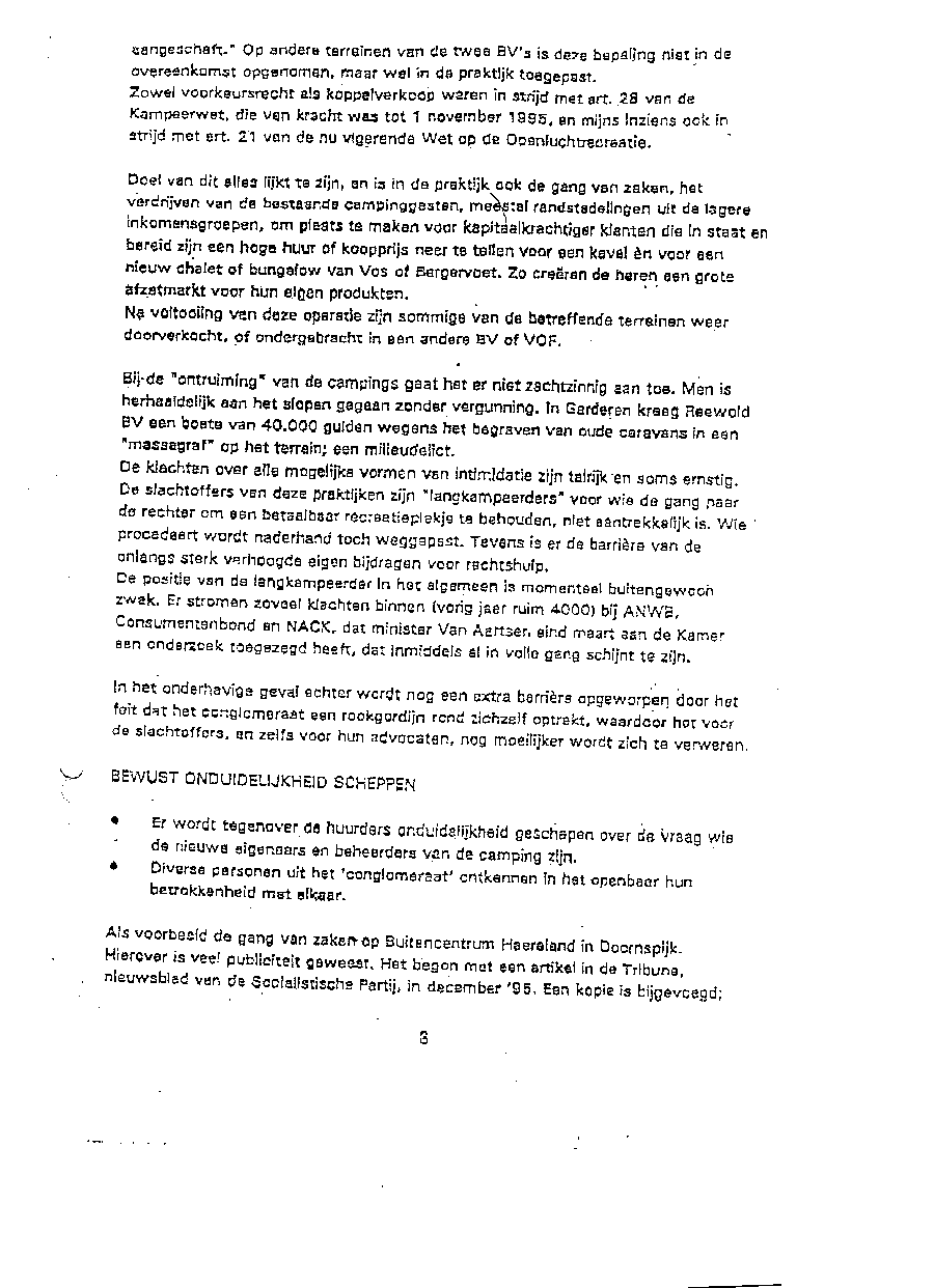
Herverkaveling met hogere prijzen en halvering ven het toegewezen oppervlak
Erkenning van mr. Sigmond dat hij op 28-3-2002 wist van de documenten
De verbannen website van Ruud Rietveld: 'Campingmaffia veertig jaar actief'
Verwijt aan mr. Sigmond over z'n inactiviteit. Wel betalen, maar niet kunnen halen!
Kadastrale gegevens en in- en uitschrijvingen bij de Kamer van koophandel
Kadastergegevens Kamer van Koophandel van conglomeraat van parken van Bergervoet sr.
André Horlings vertelt zijn bevindingen over malafide praktijken in de campingwereld
De spionnen van Bergervoet met afluisterpraktijken en handlangers in de politiek
Het ondoorzichtige netwerk wordt onthuld met gegevens uit de Kamer van Koophandel
Foto's van de sloop van de natuur t.b.v. geldelijk gewin voor de Campingmaffia
De ontstaansgeschiedenis met de Rabobank als spin in het web van misleiding en uitbuiting
Slagerspraktijken van deurwaarder Van der Meer en Philipsen in dienst van Bergervoet c.s.
Een serie losse aantijgingen tegen mij (Rietveld) wegens onjuiste, vermeende kwalijke zaken
Onzuivere koffie geschonken door Notaris van de Wees met ontkenning van het convenant
De constructie en dwarsverbanden tussen de conglomeraten van de grote recreatieparken
Het werk als undercover informant voor het FIOD kwam later terug als een boemerang
Ruud Rietveld doet aangifte bij de politie in Barneveld wegens bedreiging met de dood
Voorlopige conclusie van Rietveld aan de recreanten en semi-permanente bewoners
Bewijs van verstrengeling van de Rabobank met de beleggers in de recreatieparken
Van Ginkel, 'n voorbeeld van de mentaliteit van caravan- en chaletverkopers
Helder geval van incompetentie en corrupte handelingen en manipulatie
Zwendelpraktijken van mr. R.J. Sark van De Kempenaer Advocaten in Arnhem
Overzicht van een zwarte lijst van dubieuze praktijken door glibberige advocaten
Overzicht van publicaties in de Telegraaf over financiële schandalen bij de Rabobank
Slimme constructies om gemeenten om de tuin te leiden door gebrek aan (fiscaal) inzicht
Achtergrond over de handelsregisterhistorie van Aegon Recreatie BV
Voorbeelden van chicanes die mensen in de financiële en emotionele ellende storten
Waarschuwing voor aspirant kopers van caravans, campers en chalets in de recreatie
Daar tegenover geef ik een goede hint voor aspirant-kopers van campers en caravans