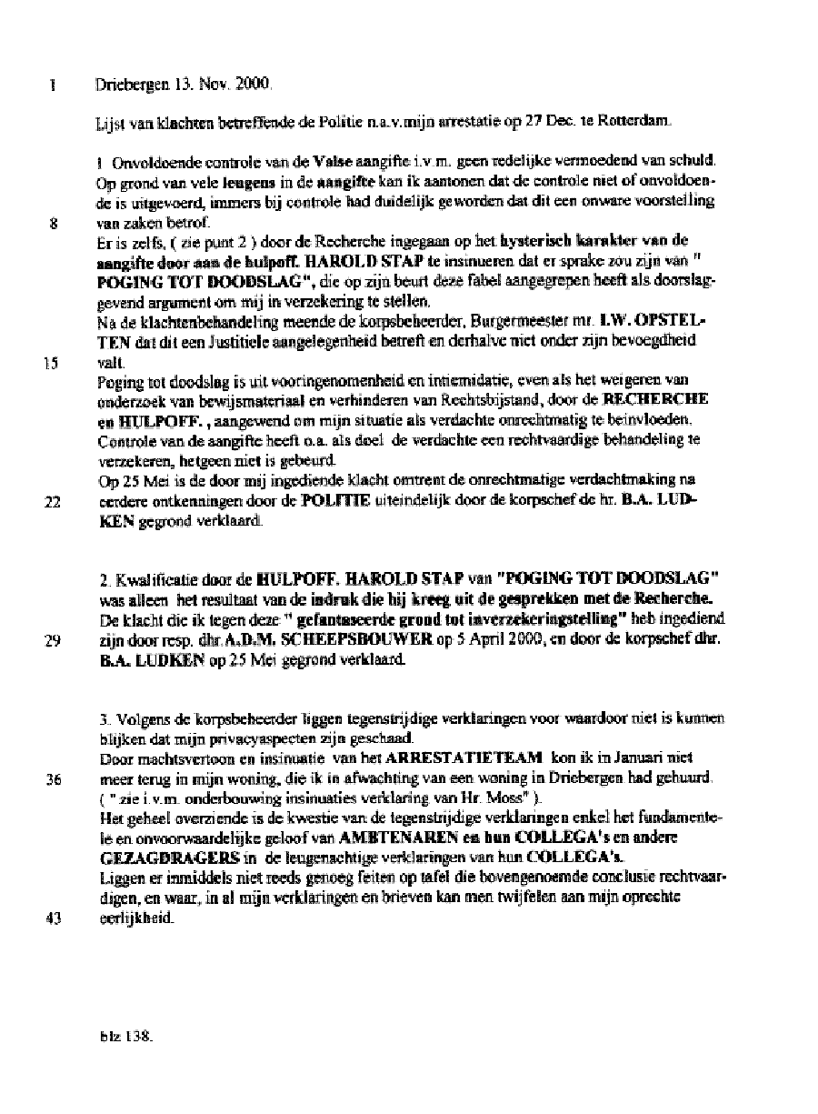
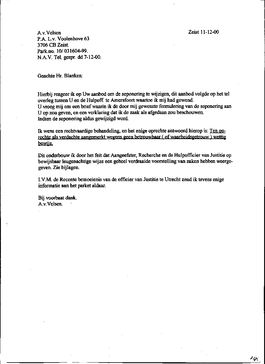
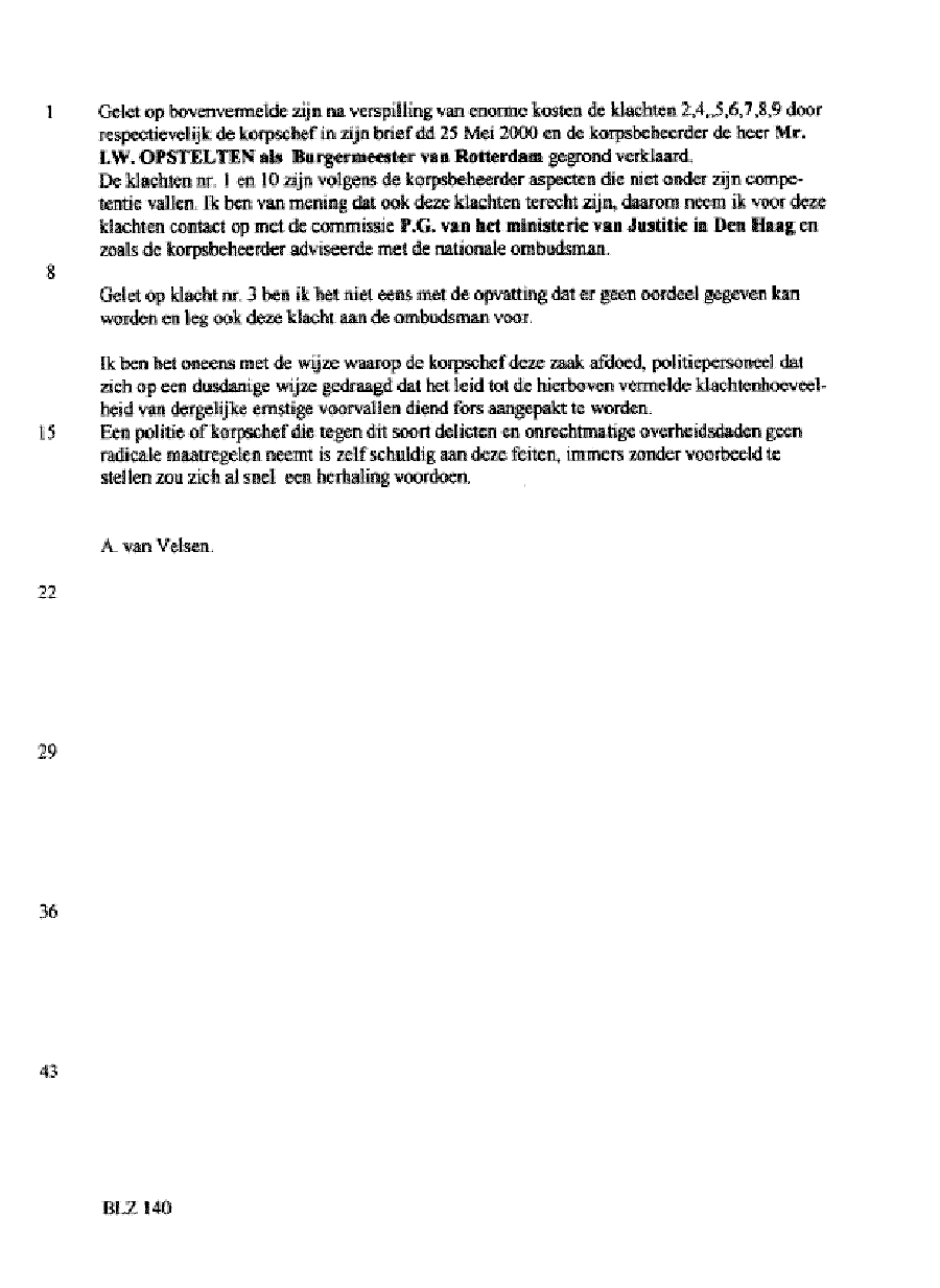
Antecedentenregister RM . . . . . SDN homepage
. . . . Het Pleidooi
Het pleidooi ©
Stichting Sociale Databank Nederland
E-mailadres:
sdn@planet.nl
Internet site:
http://www.mijnpleidooi.nl/b/b5.html
Westkade 227, 1273 RJ Huizen (NH)
Tel.: (31)-35-5244141 . . . . . Fax: 035-5244142
Disclaimer