(18-09)     Brief, gedateerd 03 april1998, van minister Jorritsma aan advocaat

Van der Goen. 'Slechts één geval bekend'.

__________________________________________________________________________________

    

 

 

 

 

(18-09)   Gedeelte van een proces-verbaal over het eerste contact tussen de rijksrecherche en advocaat Van der Goen over diens 'witte-pakkendossier'; over het eerste contact met commissaris Ad Smit; en foutieve informatie over de 'zwarte dozen' in het betrokken vliegtuig.

__________________________________________________________________________________

 

(18-09)  Brief van hoofdofficier Vrakking aan het college van procureurs-generaal, waarin hij op 8 april 1998 - het onderzoek van de rijksrecherche naar de 'mannen in witte pakken' is dan nog maar nauwelijks begonnen - de uitslag van het onderzoek al laat weten. Ook vermeldt hij de aanwezigheid van Israëliërs op de rampplek. __________________________________________________________________________________

18-09)  Aanvullende brief, gedateerd 16 april 1998, van hoofdofficier Vrakking aan het college van procureurs-generaal over het onderzoek van de rijksrecherche naar de 'mannen in witte pakken'. __________________________________________________________________________________

(18-09)     Verklaring van commissaris Ad Smit tegenover Pierre Heijboer,

op 26 februari 2001.

_____________________________________________________________________________

 

'Ik was toen nog geen chef in de Bijlmer geweest, maar ik kende de Bijlmer erg goed; ik had er onder meer gewoond. Ik woonde toen - en nu - in Breukelen. Bernhard Welten woonde vlak in de buurt, om de hoek zeg maar. Die     

zondagmiddag stond hij ineens voor mijn deur en zei: 'Kom mee. Er is een vliegtuig neergestort in de Bijlmer.' Ik had nog een ouderwetse mobilofoon. Die heb ik gepakt en bovendien nog een aantal reserve-batterijen. (Daar was ik later erg blij mee, want die oude mobilofoon van mij, inclusief de batterijen, zorgde ervoor dat ik die avond een van de weinigen was die vrij probleemloos kon communiceren.) Ik nam niet de tijd om me om te kleden, maar ging meteen met Welten mee.

 

Welten zette een blauw zwaailicht op zijn auto en over de A2 gingen we richting Bijlmer. Welten stuurde en ik ging alvast aan het bellen: de lijst van autoriteiten die gewaarschuwd moesten worden.

 

We kwamen zonder problemen bij de rampplek. Onderweg had ik al voldoende berichten opgevangen om te weten dat het om een vrachtvliegtuig van El Al ging. We konden de Groesbeekdreef zonder problemen af; de paaltjes lagen al om.

Niet lang nadat wij daar beneden waren aangekomen kwam ook de VC-wagen. Daar zijn we toen in gaan zitten. Ik zat rechts voorin; naast me zat Aad Hoogeboom, chauffeur van de wagen. Achterin was een soort bureau, zoals ik teken op de plattegrond.

 

U vraagt mij of er ook iemand van onze Verkeersdienst in de auto zat, achter me. Het is mogelijk, maar ik weet het niet.

 

In de auto werd het snel benauwd. De ruiten raakten helemaal beslagen. Ik moet trouwens zeggen, dat ik de hele avond weinig benul heb gehad van wat er achter mij in de auto allemaal gebeurde. Omdat ik voorin zat weet ik ook niet wie zich allemaal gemeld heeft aan de achterdeur. Wat ik wel nog weet, maar dat was later, is dat we de drie commandowagens, van ons, BRW en GG&GD met de achterkanten min of meer in een kring tegen elkaar hebben gezet. Dat was handiger voor de onderlinge communicatie en zo hield je ook allerlei volk een beetje buiten. Er kwamen, dat weet ik wel nog, onder andere wat bestuurlijke hotemetoten bij ons aankloppen, zoals de burgemeester van Diemen, maar voor die lui hadden we dus weinig tijd.

 

U laat mij het RR-PV van mijn verklaring zien. Inderdaad, zo was het, en eerlijk gezegd weet ik er nog altijd niet veel meer over dan wat daar staat. Eerst was er die persman aan mijn deur. Er werd geklopt. Vanwege de beslagen ruit zag ik niet veel, dus ik deed de deur open. Er stond een man die zei dat hij van CNN was. Hij sprak Engels en eiste op hoge toon informatie. Daar had het publiek recht op, zei hij. Ik zal wel zoiets geroepen hebben als 'daar heb ik nu geen tijd voor' en wilde de deur weer dicht doen. Maar hij was hardnekkig; hij vond een stuk hout en stak dat tussen de deur. Met gebruikmaking van enig geweld heb ik de deur toen weer dicht gekregen.

 

En later - zoals ik aangeef was dat vóór kwart over acht - waren er die Israeli's. Er werd weer op mijn deur geklopt en een man toonde een pasje. Door die beslagen ruit zag ik ook dat weer niet goed. Ik deed de deur open en hij liet mij die pas weer zien. Ik las iets als Israeli Security, zie mijn PV, en ik verbaasde me over het feit dat Israëlische veiligheidsmensen zo snel in de Bijlmer waren. Waar kwamen die in godsnaam vandaan?

 

De man had zeker twee anderen bij zich - kunnen er ook drie geweest zijn. Hij zei dat hij de auto in moest 'om te adviseren'. Ik zag geen enkele aanleiding om aan dat verzoek te voldoen, en ik vertelde hem dat. (Zie verder mijn PV). Die mannen liepen vervolgens weg, waarheen weet ik niet. Maar ik weet wel dat ze als Israëlische veiligheidsmensen binnen de afzetting waren en dat niemand hen daar een strobreed in de weg legde.

 

Ik heb later nog wel eens gepiekerd over die lui. Wie waren ze? Waar kwamen ze vandaan (Schiphol, zegt u?  Dat zou iets verklaren.)? Wat wilden ze? Ik had, zei ik wel eens tegen mezelf, wat beter naar die pasjes moeten kijken. Maar dat is wijsheid achteraf.

 

Op een gegeven moment heeft Bernard inderdaad om een tweede commandowagen gevraagd. Dat is eigenlijk standaard procedure. Dat je bij grote operaties twee commandoploegen hebt: één voor het eigenlijke gebeuren en één voor de controles en de afzettingen, etc. eromheen.

 

Maar voor ons was er nog een andere reden. We dreigden namelijk in de fik te vliegen. Nee, erger nog, er ontstond inderdaad brand in onze auto en iemand trok een brandblusser open. Je kunt je voorstellen dat je dan niet lekker  zit in zo'n auto. Wat er aan de hand was, was dat we op een gegeven moment de motor moesten gaan laten draaien om de batterijen voor de communicatie niet leeg te laten lopen. Maar we wisten niet dat de wagen nog in een versnelling stond én op de handrem. Dat werd dus heet, en ging roken en ging branden.

 

(De vraag of die reserve-auto er nou kwam, en of ze daar in zijn overgestapt, werd in dit gesprek niet duidelijk genoeg gesteld en beantwoord. Is met eerste ME-peloton meegekomen. Veel later ook nog een extra VC-wagen voor 'Verkeer' - zie diverse chrono's.)

 

In mijn herinnering is de kwestie of er sprake was van een terroristische aanslag in onze auto niet of nauwelijks aan de orde geweest. Ik weet wél dat we gesproken hebben over het aantal slachtoffers. Omdat ik wist dat we hier te maken hadden met woningen die voor een groot deel bewoond werden door allochtonen, die anders dan Nederlanders rond Studio Sport-tijd NIET allemaal thuis zijn, schatte ik dat aantal laag: ik hield het op rond zestig doden.

 

Ik ben die nacht nog vrij lang in de auto gebleven. Welten ging eerder weg. Zelf ben ik, denk ik, om ongeveer twee uur naar huis gegaan.

                                   

 

(18-09)      Brief van de rijksrecherche aan El Al, gedateerd 8 mei 1998.

__________________________________________________________________________________

18-09)     Brief, gedateerd 17 februari1998, van El Al aan de rijksrecherche. 'Alleen directeur-Nederland Uri Danor is tijdens de rampnacht in de Bijlmer geweest'. Niet waar.

__________________________________________________________________________________

 

 

 

 

 

(18-09)     Nederlandse vertaling van de brief van de rijksrecherche aan El Al,

gedateerd 8 mei 1998.

__________________________________________________________________________________

 

 

 

 

 

(18-09)  Brief aan de Rijksrecherche, afdeling Juridische Zaken.

__________________________________________________________________________________

(18-09)      Brief, gedateerd 16 juni 1998, van hoofdofficier Vrakking aan minister Sorgdrager van Justitie, betreffende de aanbieding van het resultaat van het onderzoek van de rijksrecherche naar de 'mannen in witte pakken'. _________________________________________________________________________________

(18-09)      Brief, gedateerd 16 juni 1998, van hoofdofficier Vrakking aan het college van procureurs-generaal, betreffende de aanbieding van het resultaat van het onderzoek van de rijksrecherche naar de 'mannen in witte pakken'. __________________________________________________________________________________

(18-09)     Het proces-verbaal van de inspecteurs Coersen en Oud over het

onderzoek van de rijksrecherche naar de 'mannen in witte pakken'.

__________________________________________________________________________________

 

 

18-09)      Brief, gedateerd 9 september1998, van hoofdofficier Vrakking aan het college van procureurs-generaal. 'Geen nieuwe feiten.'

__________________________________________________________________________________

  (18-09)     Brief, gedateerd 23 september 1998, van het college van procureurs -generaal aan de minister van Justitie.

__________________________________________________________________________________

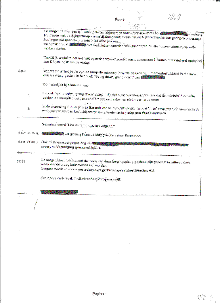
  (18-09)     Brief van het ministerie van Justitie aan het college van procureurs -generaal. Het ministerie wil meer weten over die Franse bergingsploeg. __________________________________________________________________________________

 

(18-09)     Proces-verbaal, gedateerd 29 juni 1998, van de rijksrecherche over de

aantekening die politieman Doornekamp vond in het logboek van het bureau Flierbosdreef, betreffende een 'Franse bergingsploeg'.

__________________________________________________________________________________

(18-09)     Aanvullende proces-verbaal, gedateerd 26 september1998, van de

rijksrecherche over de aantekening die politieman Doornekamp vond in het logboek van het bureau Flierbosdreef, betreffende een 'Franse bergingsploeg'.

__________________________________________________________________________________

 

 

 

(18-09)     Brief, gedateerd 28 september 1998, van het Amsterdamse OM aan

het college van procureurs-generaal. 'Geen nieuwe feiten.'

__________________________________________________________________________________

 

 

18-09     (Proces-verbaal van het verhoor van kamerlid Rob van Gijzel door de

rijksrecherche op 11 mei 1998.

__________________________________________________________________________________

 

 

 

 

 

 

 

 

 

(18-09)  Aanvullend proces-verbaal over het verhoor van kamerlid Rob van Gijzel door de rijksrecherche.  

__________________________________________________________________________________

 

 

 

Deze website is tot stand gekomen in samenwerking met de Sociale Databank Nederland
Disclaimer