(03-02)  Proces-verbaal van de verklaring van catering-medewerker Johan Kaestner tegenover de rijkspolitie op 14 oktober 1992.

 

 

 

 

 

 

 

 

 

(03-02)  Eindrapport Raad voor de Luchtvaart: gegevens over de bemanning van de 4X-AXG.

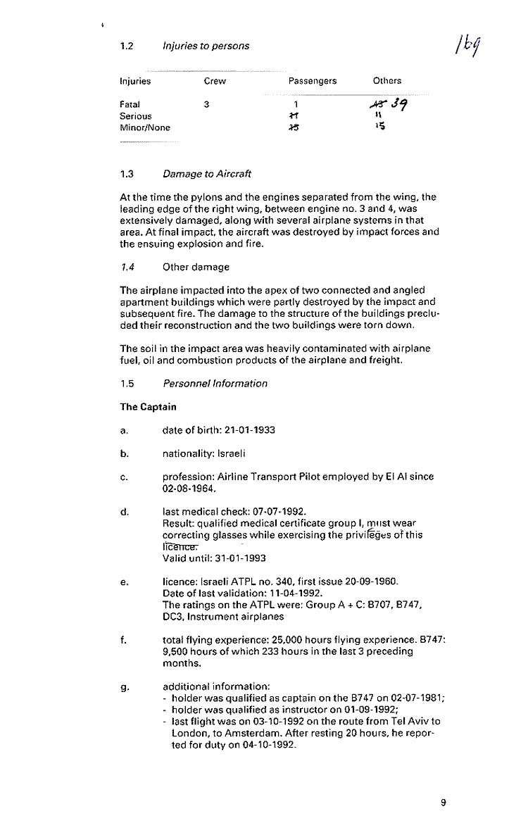
_______________________________________________________________________________________

 

     

 

 

 

 

 

(03-01)  Bladzijden uit het proces-verbaal van het verhoor van  Jeroen

Plettenberg, opgemaakt door de Luchtvaartpolitie op 11 september 1996,

onder meer over de aanwezigheid van een cockpit voice recorder in het

verongelukte vliegtuig.  

_______________________________________________________________________________

 

Proces - verbaal 96.08.21.0452.01.2                                 Pagina 11

machine hier op Schiphol "volgens het boekje" verlo pen is .

Toen de machine operationeel helemaal klaar was voor

vertrek, heb ik nog zo'n 45 minuten moeten wachten

op de uitgaande crew (die onderweg was van het hotel

in Amsterdam naar Schiphol) .  Ik  zou van  captain

Fuchs horen wat hij  als uiteindelijk brandstof ge-

wicht zou meenemen. Dit betekent dat Fuchs bepaalt

wat er als uiteindelijke hoeveelheid brandstof uit-

gedrukt in kilo's, mee zou gaan aan boord, op basis

van de gegevens in de Meteofolder, die in de cockpit

klaar lag toen hij aan boord kwam. Die MET-folder

was door Wijbrandi opgehaald bij A. G. Operations en

en bevatte de op de vlucht betrekking hebbende weer-

kaarten en de print-out van de TAFs en de forecasts

die betrekking hebben op de route Amsterdam - Tel

Aviv,  alsmede een kopie van het vliegplan voor de

verkeersleiding en een kopie van het fuel-vliegplan.

Nadat  Fuchs dat had bekeken zei hij  dat hij  de

"final f uel" afmaakte op 77 ton; er hoefde toen nog

maar drie ton f uel bij gedaan te worden. Nu u mij

laat zien aan de hand van Uw gegevens dat er 72 ton

aan boord zat, kan ik dit herroepen en zeggen dat

dat inderdaad 72 ton was; ik heb mij vergist en dat

zal komen omdat het al vier jaar geleden is, sorry.

Ik heb de final fuel toen per portofoon doorgegeven

aan Arie Goudsblom,  die daar zijn load- en trims-

heets op heeft afgemaakt en hij kwam zo'n tien minu-

ten hierna met die documenten bij de machine. Deze

zijn toen afgegeven aan Fuchs.

Van de loadsheet en de trimsheet bestaan diverse

exemplaren: het origineel gaat mee aan boord en naar

zowel de technische dienst en de operationele dienst

van El Al als aan de operationele dienst van A. G.

gaan kopieën.

Ik heb, toen de crew aan boord was, een rondje ge-

maakt over het maindeck met de boordwerktuigkundige

 

­­­___________________________________________________________________

 

Proces - verbaal 96.08.21.0452.01.2                              Pagina 12

om te controleren of alle 29 pallets aan boord op de

correcte wijze waren vastgezet in de sluitingen, die

hiervoor zijn aangebracht in de vloer van die machi-

ne en dit bleek ook zo te zijn. De boordwerktuigkun-

dige bevestigde mij dat het er goed uitzag. Ik weet

dat de boordwerktuigkundige ook een rondje om de

machine heeft gelopen om deze machine te controleren

omdat ik hem dat heb zien doen toen hij  aankwam

vanuit het hotel en direct om de machine is gegaan

voordat hij de trap op ging en de machine in.

Wat erg belangrijk is, is het volgende. Deze machine

kon zowel aan de linkerzijkant als aan de neus bela-

den worden en toen de crew aan boord kwam, stond de

vrachtdeur aan de linkerzijkant (welke geplaatst is

nabij positie PL) nog open. De high-loader was er ai

weggehaald. Ook de "L-l deur" (de voorste deur) was

nog open. Terwijl de crew bezig was met hun voorbe-

reidingen voor het vertrek, heb ik de linkervracht-

deur gesloten. Ik wist uit mijn jaren in de lucht-

vaart,  dat degene die deze deur sluit,  zeer goed

moet opletten of er niets tussenzit: je kijkt of er

geen onregelmatigheden ontstaan bij het sluiten van

die deur en of er geen ongeregelde zaken tussen

komen te zitten waardoor er in de cockpit een indi-

catie ontstaat dat de deur niet dicht zit, terwijl

deze dan visueel wel dicht lijkt te zitten.

Terwijl ik dat deed viel mijn oog op het rek waar de

flight data recorder en de cockpit voice recorder

zitten; deze zijn geplaatst nabij de positie QL-RL

en ik had er een vrij en onbelemmerd en duidelijk

uitzicht op en dit rek zat op een afstand van mijn

hoofd tot dat rek zijn 50 cm. horizontaal en 2 meter

verticaal. Ik keek hiernaar om te zien of alles in

orde is omdat ik dat ook tot mijn taak vind horen;

het kan gebeuren dat een overhangend stuk op een

pallet in de buurt van zo'n recorder komt en er kan

bv. iets aan kapot gaan. Toen ik er naar keek zag ik

 

_______________________________________________________________

 

Proces - verbaal 96.08.21.0452.01.2                          Pagina 13

dat  er twee hel-oranje gekleurde recordersboven

elkaar bevestigd waren in dit rek en dit geheel zag

er uit zoals het er uit hoorde te zien .

Ik ben,  toen die vrachtdeur afgesloten was,  naar

voren gelopen in het vliegtuig en ik ben naar de

cockpit gegaan.  Ik heb Fuchs  gezegd dat alles in

orde was .voor vertrek en dat ik de laatste was die

van boord ging. Op dat moment, dat ik als laatste

van boord ging en dus ook als laatste uit de cockpit

kwam, zaten aan boord captain Fuchs aan de linker-

kant,  co-piloot  Arnon  Ohad  in  de  rechterstoel,

boordwerktuigkundige Sof er op zijn stoel iets achter

de beide vliegers, en mevrouw Salomon als passagiere

die zat op een stoel achter de cockpit en in de

pantry.

Ik ben hierna van boord gegaan,  heb de L-1 deur

gesloten en de trap is door A.G. verwijderd. Ik ben

bij de machine gebleven (samen met Wijbrandi) zit-

tend in de auto aan de rand van het platform. Ik

schat dat er een minuut of vijftien tot  twintig

heeft gezeten tussen de tijd dat de trap weggereden

is en de machine is gaan taxiën. Dit was niet abnor-

maal lang of kort. Ik zag de machine wegtaxiên en

volgens mij ging dat toestel om het stationsgebouw

heen  ("over de noord");  ik ben toen teruggereden

naar de plaats waar de platformauto van El Al nor-

maal geparkeerd wordt  (bij de havendienst)  en ben

naar het kantoor van El Al gegaan.

Hierna volgen, voor elke vlucht, een aantal admini-

stratieve handelingen:

- het controleren van de vluchtmap (met name of het

copie loadsheet, het copie trimsheet, de beladings-

instructie,  copie fuelplan,  vliegplan van de ver-

keersleiding en de getekende NOTOC, en alle telexbe-

richten voor de betrokken vlucht, plus cicketcoupons

van mogelijke passagiers voor vrachtvluchten) aanwe-

zig zijn;

 

 

 

 

(03-01)     Verklaring van El Al-technicus Carel Gaalman tijdens zijn

'voorgesprek' met de PEC op 13 januari1999 - over de aanwezigheid

van een cockpit voice recorder in het verongelukte toestel.

_____________________________________________________________________________________

 

OVB022 (vastgesteld)                                                                                                                    3

 ONDERZOEK VLIEGRAMP BIJLMERMEER

-----------------------------------------------------------------------------------------------------------------------------------------------------

 

De heer Gaalman : Tot verleden jaar wel. Toen kwam er een vrouw die vlieger wilde worden. Zij heeft het

voor het gerechtshof gewonnen en zij wordt nu piloot.

De voorzitter : U doet de technische inspectie.

De heer Gaalman : Dat doe ik al 30 jaar. Dat is voor mij dus routine.

De voorzitter : Hoeveel tijd is daar globaal mee gemoeid?

De heer Gaalman : Als ik moet bekijken wat op de lijst staat die ik u zojuist heb gegeven, ben ik binnen 20

minuten klaar.

De voorzitter : Dat is de papieren inspectie.

De heer Gaalman : Inderdaad. Ik vraag eerst of de kist oké is. Als die niet oké is ga ik naar boven, als die

wel oké is, loop ik er eerst omheen. Want als ik een wiel moet verwisselen en dat bij KLM of Martinair moet

halen — dat duurt soms uren — kan ik dat wiel meteen bestellen. Ook als ik onderdelen moet hebben of

plaatwerk, kan ik dan meteen actie nemen.

De voorzitter : Mag ik daaruit concluderen dat niet iedere kist, ieder vliegtuig door u persoonlijk wordt

betreden c.q. wordt bezien? Als de gezagvoerder zegt dat er geen problemen zijn, tekent u dit formulier...

De heer Gaalman : Nee, ik moet tekenen. Als de volgende crew wat vindt, ben ik de klos.

De voorzitter : U gaat dus te allen tijde naar binnen. U gaat naar het toestel toe en u gaat de cockpit in. U

komt dus daadwerkelijk in ieder toestel dat u controleert.

De heer Gaalman : Ik loop om het hele toestel heen. Er zijn tientallen dingen waar ik naar moet kijken.

Daarna loopt de BWK, de boordwerktuigkundige, of de copiloot er ook weer omheen. Die controleert dus

ook en als die wat vindt, krijg ik een ambtelijk rapportje aan mijn broek. Dat is niet best voor je carrière.

De voorzitter : Wordt dat wel eens uitgeprobeerd?

De heer Gaalman : Ik heb een keer gehad dat een BWK een vogel in de landing-gear vond, die ik niet had

gezien. Dat was zeer slordig.

De voorzitter : Is een van uw opdrachten om te kijken of de cockpit voice recorder aan boord is?

De heer Gaalman : Zonder cockpit voice recorder en flight recorder gaat de kist niet weg.

 

De voorzitter : Dus ieder vliegtuig dat opstijgt op Schiphol heeft een cockpit voice recorder aan boord en

altijd op dezelfde plek, achter in het toestel bij de staart.

De heer Gaalman : Ja, op een rekje staan de cockpit voice recorder en de flight recorder. Als de vrachtdeur

opzij sluit, moet ik de hele kist door en alle pallets controleren en dan zie ik automatisch een rode box en een

andere box. Als die missen neemt de crew de kist niet eens mee. Als er geen flight recorder in zit, kunnen ze

de oorzaak van een ramp niet onderzoeken. Ik heb nog nooit meegemaakt dat daarmee gerommeld werd. Ik

teken de kist dan ook niet af en dan gaat die niet weg.

De voorzitter : Als er geen cockpit voice recorder aan boord zou zijn...

De heer Gaalman : Teken ik niet af.Hij mag overigens onder bepaalde voorwaarden kapot zijn.

De voorzitter : ...zou u uw handtekening niet onder het formulier zetten.

De heer Gaalman : Nee. Ik krijg dan Israël qualitycontrol op mijn dak en dan wordt mijn licence ingetrokken,

want dan zeggen ze: die man is niet te vertrouwen. Als ik een handtekening zet voor een vliegtuig dat niet

luchtwaardig is, is het meteen gebeurd.

Mevrouw Augusteijn-Esser : U zei zojuist in een tussenzinnetje: hij mag onder bepaalde voorwaarden kapot

zijn.

 


In samenwerking met St. Sociale Databank Nederland